BOOKING AT ROSE HILL COMMUNITY CENTER

Please Submit Booking Request Below

Let's Work Together!

BOOKING FAQ’S

How much are the hall rentals?

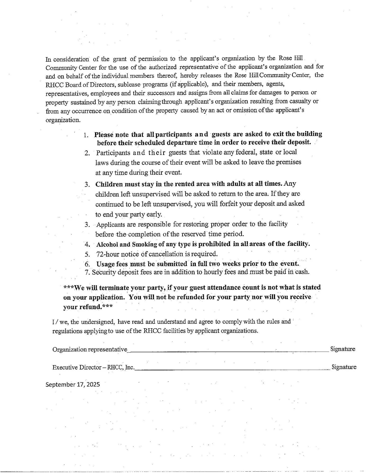
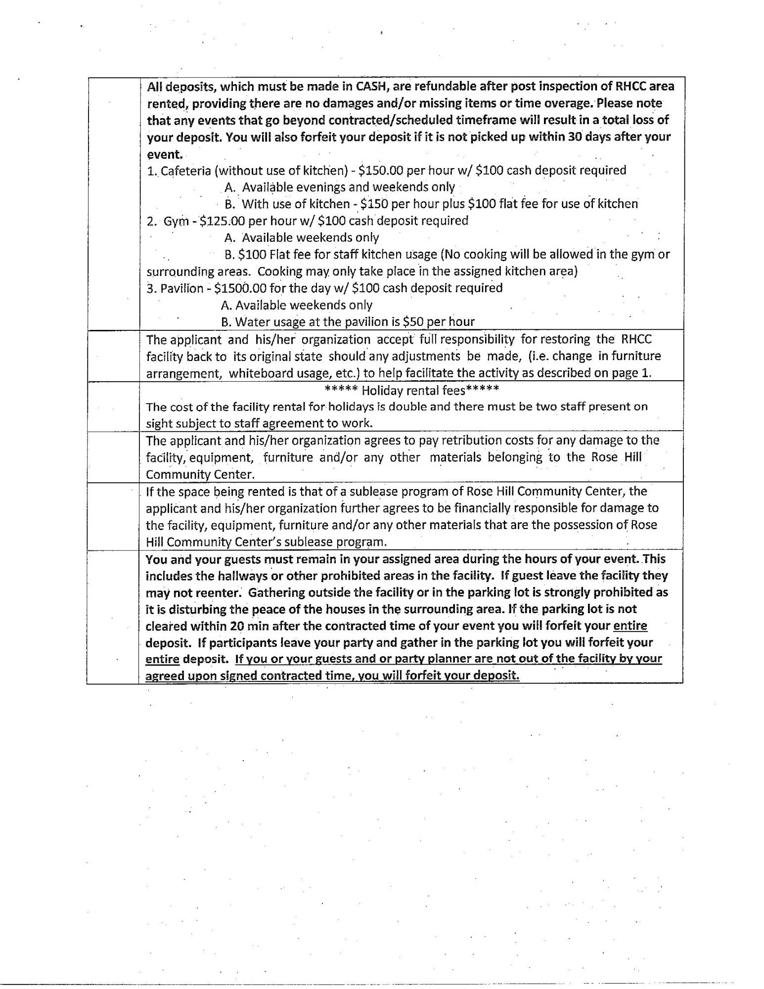
The gym is $125 per hour and the cafe is $150 per hour. There is a required $100 cash deposit. Your deposit is refundable the next business day after your event as long as you are out on time and nothing is broken. There is a $100 flat fee for the use of the kitchen when renting the cafe.  Your balance must be paid in full two weeks before your event. You will need to come in to sign the agreement. You will be given one hour free of charge to set up. You will need to make sure that your decorations are taken down and other items you are not taking with you are in the trash when you leave, our custodial team will take care of the rest.

How much is the pavilion?

The pavilion is $150 for the day 9am -9pm. There is a $100 cash deposit to hold your date, which will be refunded the next business day after your event as long as you are out on time and nothing is broken. The area will need to be cleaned up and all trash in the trash bags/cans. The custodial team will take care of the rest.

*Deposits are refundable post-inspection of RHCC property providing there are no damages, missing items and you have adhered to your scheduled time. Add additional $25 for use of the kitchen.

*You must pick up your deposit during office hours, no more than 30 days after your event. However, please note that if any damage is done to the facility, you will forfeit your deposit.

At Rose Hill Community Center, feedback is essential to our growth and success.

We value the voices of everyone we serve and use your input to strengthen our programs, improve our services, and ensure our center remains a welcoming, inclusive space for all.

How Easy Is It to Book?
It’s as Easy as 1, 2, 3.

1.Book your date after submitting an application & deposit.

2.Set up 1-hour before enjoying your amazing event.

3.Clean up & pick up your deposit after inspection.*

FACILITY USAGE APPLICATION & AGREEMENT

Our Rose Hill Community Center Team